FxMarkBrown's Blog
首页
归档
归档
分类
标签
说说
相册
留言
友链
AI
关于
常系数非齐次线性差分方程的特征方程与待定系数法
FxMarkBrown
2024-11-08
·
学习
3 阅读
1 分钟
0 评论
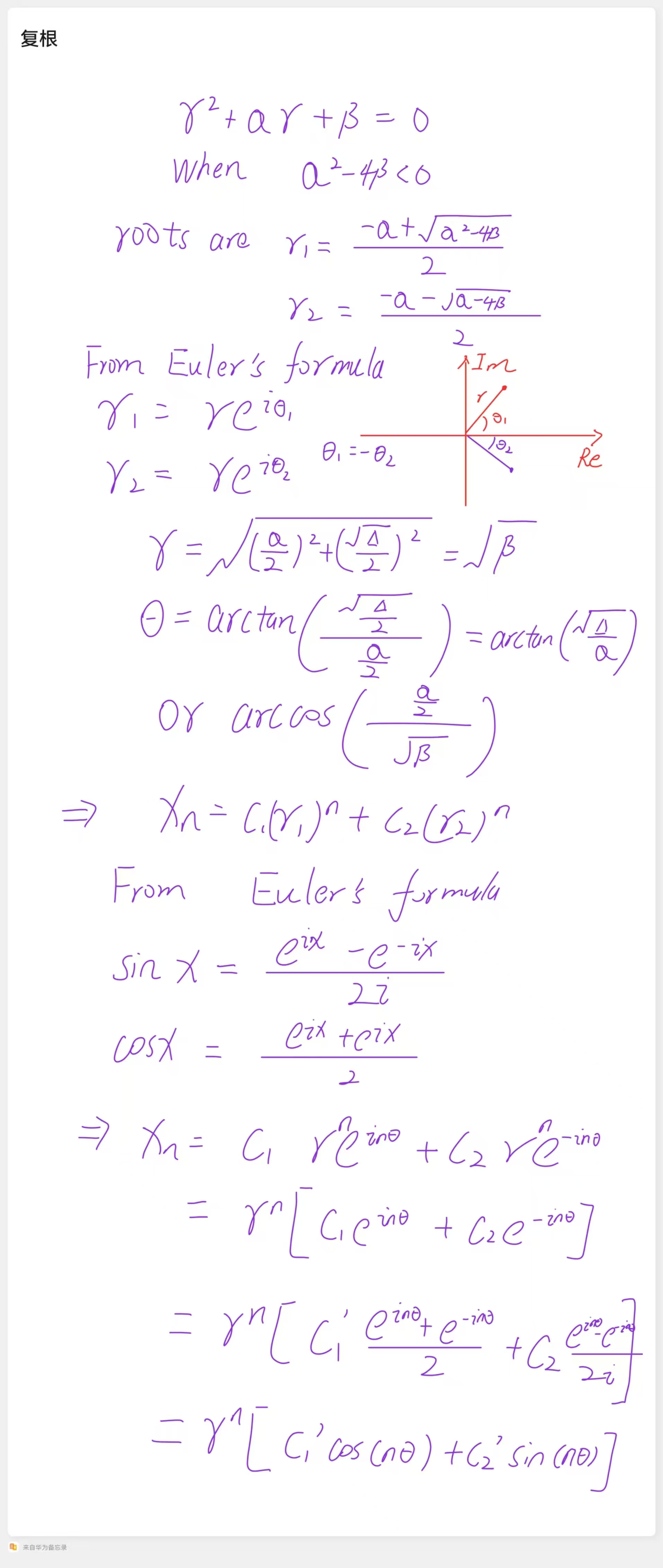
注:第一章图的圈2有一定问题
全部评论
(0)
最新
最热
暂无评论,快来抢沙发吧~
全部评论 (0)
暂无评论,快来抢沙发吧~