FxMarkBrown's Blog
首页
归档
归档
分类
标签
说说
相册
留言
友链
AI
关于
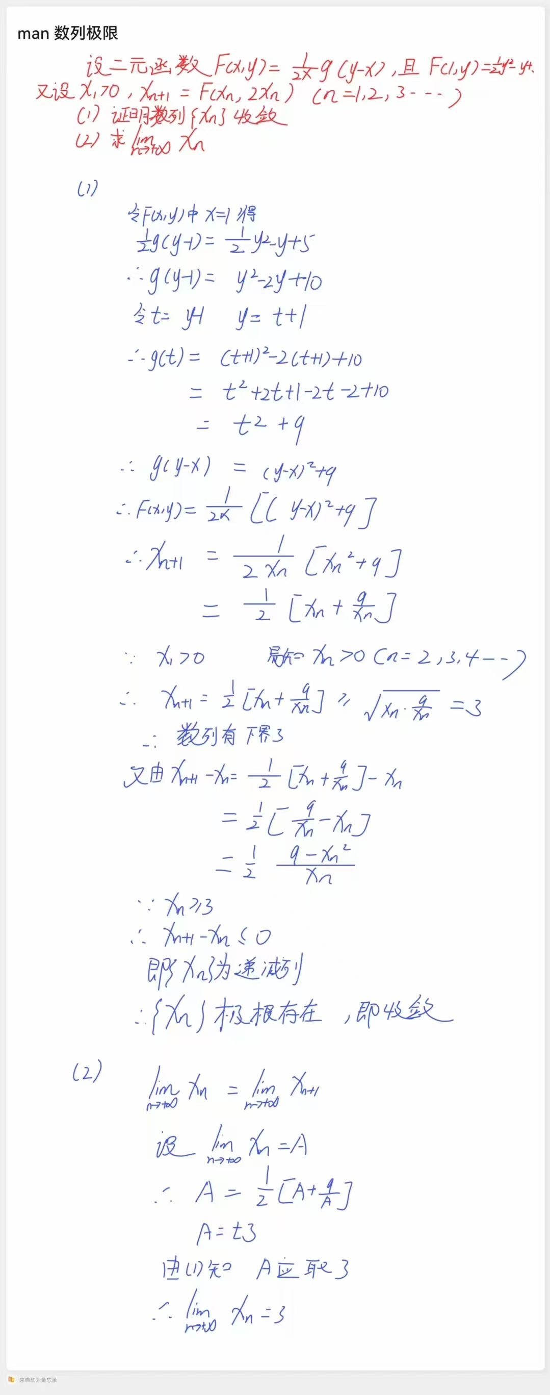
一道数列极限
FxMarkBrown
2024-03-15
·
学习
1 阅读
1 分钟
0 评论
全部评论
(0)
最新
最热
暂无评论,快来抢沙发吧~
全部评论 (0)
暂无评论,快来抢沙发吧~